Go to JCI Insight
  • About
  • Editors
  • Consulting Editors
  • For authors
  • Publication ethics
  • Publication alerts by email
  • Advertising
  • Job board
  • Contact
  • Clinical Research and Public Health
  • Current issue
  • Past issues
  • By specialty
    • COVID-19
    • Cardiology
    • Gastroenterology
    • Immunology
    • Metabolism
    • Nephrology
    • Neuroscience
    • Oncology
    • Pulmonology
    • Vascular biology
    • All ...
  • Videos
    • Conversations with Giants in Medicine
    • Video Abstracts
  • Reviews
    • View all reviews ...
    • Pancreatic Cancer (Jul 2025)
    • Complement Biology and Therapeutics (May 2025)
    • Evolving insights into MASLD and MASH pathogenesis and treatment (Apr 2025)
    • Microbiome in Health and Disease (Feb 2025)
    • Substance Use Disorders (Oct 2024)
    • Clonal Hematopoiesis (Oct 2024)
    • Sex Differences in Medicine (Sep 2024)
    • View all review series ...
  • Viewpoint
  • Collections
    • In-Press Preview
    • Clinical Research and Public Health
    • Research Letters
    • Letters to the Editor
    • Editorials
    • Commentaries
    • Editor's notes
    • Reviews
    • Viewpoints
    • 100th anniversary
    • Top read articles

  • Current issue
  • Past issues
  • Specialties
  • Reviews
  • Review series
  • Conversations with Giants in Medicine
  • Video Abstracts
  • In-Press Preview
  • Clinical Research and Public Health
  • Research Letters
  • Letters to the Editor
  • Editorials
  • Commentaries
  • Editor's notes
  • Reviews
  • Viewpoints
  • 100th anniversary
  • Top read articles
  • About
  • Editors
  • Consulting Editors
  • For authors
  • Publication ethics
  • Publication alerts by email
  • Advertising
  • Job board
  • Contact
DNA priming and gp120 boosting induces HIV-specific antibodies in a randomized clinical trial
Nadine G. Rouphael, … , Michael C. Keefer, the HVTN 105 Protocol Team and the NIAID HIV Vaccine Trials Network
Nadine G. Rouphael, … , Michael C. Keefer, the HVTN 105 Protocol Team and the NIAID HIV Vaccine Trials Network
Published September 30, 2019
Citation Information: J Clin Invest. 2019;129(11):4769-4785. https://doi.org/10.1172/JCI128699.
View: Text | PDF
Clinical Research and Public Health AIDS/HIV

DNA priming and gp120 boosting induces HIV-specific antibodies in a randomized clinical trial

  • Text
  • PDF
Abstract

BACKGROUND RV144 is the only preventive HIV vaccine regimen demonstrating efficacy in humans. Attempting to build upon RV144 immune responses, we conducted a phase 1, multicenter, randomized, double-blind trial to assess the safety and immunogenicity of regimens substituting the DNA-HIV-PT123 (DNA) vaccine for ALVAC-HIV in different sequences or combinations with AIDSVAX B/E (protein).METHODS One hundred and four HIV-uninfected participants were randomized to 4 treatment groups (T1, T2, T3, and T4) and received intramuscular injections at 0, 1, 3, and 6 months (M): T1 received protein at M0 and M1 and DNA at M3 and M6; T2 received DNA at M0 and M1 and protein at M3 and M6; T3 received DNA at M0, M1, M3, and M6 with protein coadministered at M3 and M6; and T4 received protein and DNA coadministered at each vaccination visit.RESULTS All regimens were well tolerated. Antibodies binding to gp120 and V1V2 scaffold were observed in 95%–100% of participants in T3 and T4, two weeks after final vaccination at high magnitude. While IgG3 responses were highest in T3, a lower IgA/IgG ratio was observed in T4. Binding antibodies persisted at 12 months in 35%–100% of participants. Antibody-dependent cell-mediated cytotoxicity and tier 1 neutralizing-antibody responses had higher response rates for T3 and T4, respectively. CD4+ T cell responses were detectable in all treatment groups (32%–64%) without appreciable CD8+ T cell responses.CONCLUSION The DNA/protein combination regimens induced high-magnitude and long-lasting HIV V1V2–binding antibody responses, and early coadministration of the 2 vaccines led to a more rapid induction of these potentially protective responses.TRIAL REGISTRATION ClinicalTrials.gov NCT02207920.FUNDING National Institute of Allergy and Infectious Diseases (NIAID) grants UM1 AI068614, UM1 AI068635, UM1 AI068618, UM1 AI069511, UM1 AI069470, UM1 AI069534, P30 AI450008, UM1 AI069439, UM1 AI069481, and UM1 AI069496; the National Center for Advancing Translational Sciences, NIH (grant UL1TR001873); and the Bill & Melinda Gates Foundation (grant OPP52845).

Authors

Nadine G. Rouphael, Cecilia Morgan, Shuying S. Li, Ryan Jensen, Brittany Sanchez, Shelly Karuna, Edith Swann, Magdalena E. Sobieszczyk, Ian Frank, Gregory J. Wilson, Hong-Van Tieu, Janine Maenza, Aliza Norwood, James Kobie, Faruk Sinangil, Giuseppe Pantaleo, Song Ding, M. Juliana McElrath, Stephen C. De Rosa, David C. Montefiori, Guido Ferrari, Georgia D. Tomaras, Michael C. Keefer, the HVTN 105 Protocol Team and the NIAID HIV Vaccine Trials Network

×

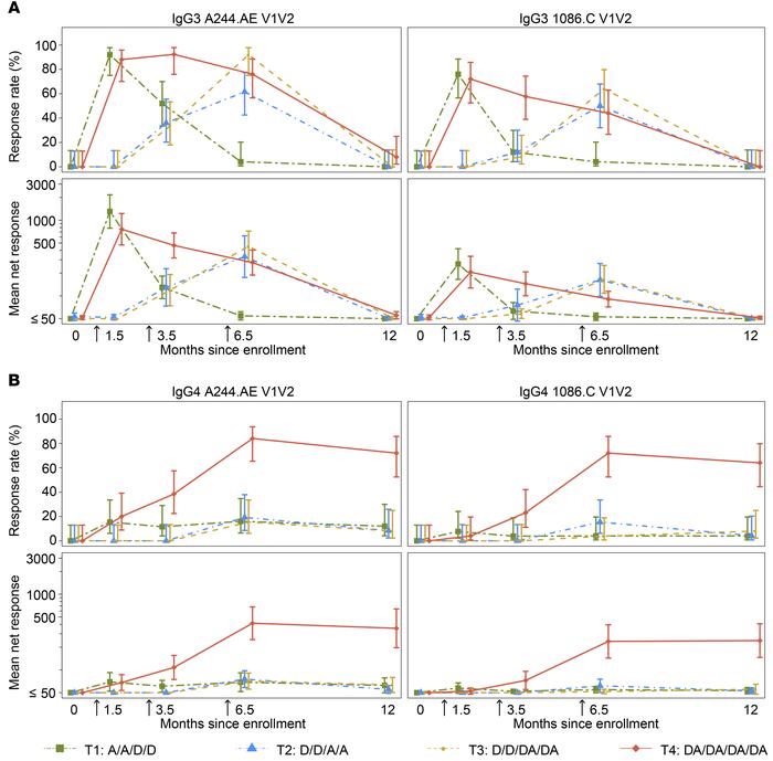
Figure 4

IgG3 and IgG4 binding-antibody responses in HVTN 105 participants over time, as measured by binding-antibody multiplex assay (BAMA) against 2 V1V2 antigens.

Options: View larger image (or click on image) Download as PowerPoint
IgG3 and IgG4 binding-antibody responses in HVTN 105 participants over t...
Shown are the positive-response rates and 95% CI for IgG3 (A) and IgG4 (B) estimated using the score test method (top panels) and the geometric mean response magnitudes among all participants and 95% CI based on an assumption of log(IgG) following a normal distribution (bottom panels) by time point and treatment group (n = 25, 26, 26, 25 in T1–T4, respectively). The lines connect the response rates and geometric mean magnitudes between time points. Subtype AE V1V2: A244.AE V1V2; subtype C V1V2: 1086.C V1V2. Arrows indicate the second, third, and fourth vaccinations. D, DNA; A, AIDSVAX B/E.

Copyright © 2025 American Society for Clinical Investigation
ISSN: 0021-9738 (print), 1558-8238 (online)

Sign up for email alerts