Go to JCI Insight
  • About
  • Editors
  • Consulting Editors
  • For authors
  • Publication ethics
  • Publication alerts by email
  • Advertising
  • Job board
  • Contact
  • Clinical Research and Public Health
  • Current issue
  • Past issues
  • By specialty
    • COVID-19
    • Cardiology
    • Gastroenterology
    • Immunology
    • Metabolism
    • Nephrology
    • Neuroscience
    • Oncology
    • Pulmonology
    • Vascular biology
    • All ...
  • Videos
    • Conversations with Giants in Medicine
    • Video Abstracts
  • Reviews
    • View all reviews ...
    • Pancreatic Cancer (Jul 2025)
    • Complement Biology and Therapeutics (May 2025)
    • Evolving insights into MASLD and MASH pathogenesis and treatment (Apr 2025)
    • Microbiome in Health and Disease (Feb 2025)
    • Substance Use Disorders (Oct 2024)
    • Clonal Hematopoiesis (Oct 2024)
    • Sex Differences in Medicine (Sep 2024)
    • View all review series ...
  • Viewpoint
  • Collections
    • In-Press Preview
    • Clinical Research and Public Health
    • Research Letters
    • Letters to the Editor
    • Editorials
    • Commentaries
    • Editor's notes
    • Reviews
    • Viewpoints
    • 100th anniversary
    • Top read articles

  • Current issue
  • Past issues
  • Specialties
  • Reviews
  • Review series
  • Conversations with Giants in Medicine
  • Video Abstracts
  • In-Press Preview
  • Clinical Research and Public Health
  • Research Letters
  • Letters to the Editor
  • Editorials
  • Commentaries
  • Editor's notes
  • Reviews
  • Viewpoints
  • 100th anniversary
  • Top read articles
  • About
  • Editors
  • Consulting Editors
  • For authors
  • Publication ethics
  • Publication alerts by email
  • Advertising
  • Job board
  • Contact
Disease-driving CD4+ T cell clonotypes persist for decades in celiac disease
Louise F. Risnes, … , Shuo-Wang Qiao, Ludvig M. Sollid
Louise F. Risnes, … , Shuo-Wang Qiao, Ludvig M. Sollid
Published May 14, 2018
Citation Information: J Clin Invest. 2018;128(6):2642-2650. https://doi.org/10.1172/JCI98819.
View: Text | PDF
Research Article Autoimmunity Immunology

Disease-driving CD4+ T cell clonotypes persist for decades in celiac disease

  • Text
  • PDF
Abstract

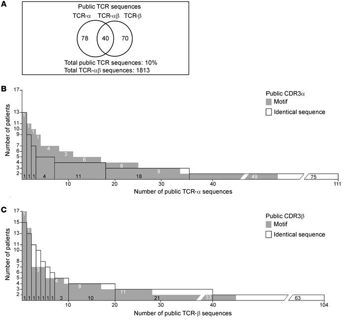
Little is known about the repertoire dynamics and persistence of pathogenic T cells in HLA-associated disorders. In celiac disease, a disorder with a strong association with certain HLA-DQ allotypes, presumed pathogenic T cells can be visualized and isolated with HLA-DQ:gluten tetramers, thereby enabling further characterization. Single and bulk populations of HLA-DQ:gluten tetramer–sorted CD4+ T cells were analyzed by high-throughput DNA sequencing of rearranged TCR-α and -β genes. Blood and gut biopsy samples from 21 celiac disease patients, taken at various stages of disease and in intervals of weeks to decades apart, were examined. Persistence of the same clonotypes was seen in both compartments over decades, with up to 53% overlap between samples obtained 16 to 28 years apart. Further, we observed that the recall response following oral gluten challenge was dominated by preexisting CD4+ T cell clonotypes. Public features were frequent among gluten-specific T cells, as 10% of TCR-α, TCR-β, or paired TCR-αβ amino acid sequences of total 1813 TCRs generated from 17 patients were observed in 2 or more patients. In established celiac disease, the T cell clonotypes that recognize gluten are persistent for decades, making up fixed repertoires that prevalently exhibit public features. These T cells represent an attractive therapeutic target.

Authors

Louise F. Risnes, Asbjørn Christophersen, Shiva Dahal-Koirala, Ralf S. Neumann, Geir K. Sandve, Vikas K. Sarna, Knut E.A. Lundin, Shuo-Wang Qiao, Ludvig M. Sollid

×

Figure 4

Public TCR sequences amount to 10% of the gluten-specific T cell repertoire.

Options: View larger image (or click on image) Download as PowerPoint
Public TCR sequences amount to 10% of the gluten-specific T cell reperto...
(A) Number of public TCRs defined as identical TCR-α, TCR-β, or paired TCR-αβ amino acid sequences observed in at least 2 individuals in a data set of a total of 1,813 gluten-specific TCR amino acid sequences from 17 HLA-DQ2.5+ patients. (B and C) Number of public TCR-α and TCR-β sequences, respectively, that were found in the number of patients plotted on the y axes. The open bars show public TCR-α or TCR-β sequences defined as identical amino acid sequences, whereas gray bars show semipublic TCR-α and TCR-β motifs generated by collapsing TCR-α or TCR-β amino acid sequences that differ by 3 residues or less.

Copyright © 2025 American Society for Clinical Investigation
ISSN: 0021-9738 (print), 1558-8238 (online)

Sign up for email alerts