Go to JCI Insight
  • About
  • Editors
  • Consulting Editors
  • For authors
  • Publication ethics
  • Publication alerts by email
  • Advertising
  • Job board
  • Contact
  • Clinical Research and Public Health
  • Current issue
  • Past issues
  • By specialty
    • COVID-19
    • Cardiology
    • Gastroenterology
    • Immunology
    • Metabolism
    • Nephrology
    • Neuroscience
    • Oncology
    • Pulmonology
    • Vascular biology
    • All ...
  • Videos
    • ASCI Milestone Awards
    • Video Abstracts
    • Conversations with Giants in Medicine
  • Reviews
    • View all reviews ...
    • Neurodegeneration (Mar 2026)
    • Clinical innovation and scientific progress in GLP-1 medicine (Nov 2025)
    • Pancreatic Cancer (Jul 2025)
    • Complement Biology and Therapeutics (May 2025)
    • Evolving insights into MASLD and MASH pathogenesis and treatment (Apr 2025)
    • Microbiome in Health and Disease (Feb 2025)
    • Substance Use Disorders (Oct 2024)
    • View all review series ...
  • Viewpoint
  • Collections
    • In-Press Preview
    • Clinical Research and Public Health
    • Research Letters
    • Letters to the Editor
    • Editorials
    • Commentaries
    • Editor's notes
    • Reviews
    • Viewpoints
    • 100th anniversary
    • Top read articles

  • Current issue
  • Past issues
  • Specialties
  • Reviews
  • Review series
  • ASCI Milestone Awards
  • Video Abstracts
  • Conversations with Giants in Medicine
  • In-Press Preview
  • Clinical Research and Public Health
  • Research Letters
  • Letters to the Editor
  • Editorials
  • Commentaries
  • Editor's notes
  • Reviews
  • Viewpoints
  • 100th anniversary
  • Top read articles
  • About
  • Editors
  • Consulting Editors
  • For authors
  • Publication ethics
  • Publication alerts by email
  • Advertising
  • Job board
  • Contact
Cross-species malaria immunity induced by chemically attenuated parasites
Michael F. Good, Jennifer M. Reiman, I. Bibiana Rodriguez, Koichi Ito, Stephanie K. Yanow, Ibrahim M. El-Deeb, Michael R. Batzloff, Danielle I. Stanisic, Christian Engwerda, Terry Spithill, Stephen L. Hoffman, Moses Lee, Virginia McPhun
Michael F. Good, Jennifer M. Reiman, I. Bibiana Rodriguez, Koichi Ito, Stephanie K. Yanow, Ibrahim M. El-Deeb, Michael R. Batzloff, Danielle I. Stanisic, Christian Engwerda, Terry Spithill, Stephen L. Hoffman, Moses Lee, Virginia McPhun
View: Text | PDF
Research Article Infectious disease

Cross-species malaria immunity induced by chemically attenuated parasites

  • Text
  • PDF
Abstract

Vaccine development for the blood stages of malaria has focused on the induction of antibodies to parasite surface antigens, most of which are highly polymorphic. An alternate strategy has evolved from observations that low-density infections can induce antibody-independent immunity to different strains. To test this strategy, we treated parasitized red blood cells from the rodent parasite Plasmodium chabaudi with seco-cyclopropyl pyrrolo indole analogs. These drugs irreversibly alkylate parasite DNA, blocking their ability to replicate. After administration in mice, DNA from the vaccine could be detected in the blood for over 110 days and a single vaccination induced profound immunity to different malaria parasite species. Immunity was mediated by CD4+ T cells and was dependent on the red blood cell membrane remaining intact. The human parasite, Plasmodium falciparum, could also be attenuated by treatment with seco-cyclopropyl pyrrolo indole analogs. These data demonstrate that vaccination with chemically attenuated parasites induces protective immunity and provide a compelling rationale for testing a blood-stage parasite-based vaccine targeting human Plasmodium species.

Authors

Michael F. Good, Jennifer M. Reiman, I. Bibiana Rodriguez, Koichi Ito, Stephanie K. Yanow, Ibrahim M. El-Deeb, Michael R. Batzloff, Danielle I. Stanisic, Christian Engwerda, Terry Spithill, Stephen L. Hoffman, Moses Lee, Virginia McPhun

×

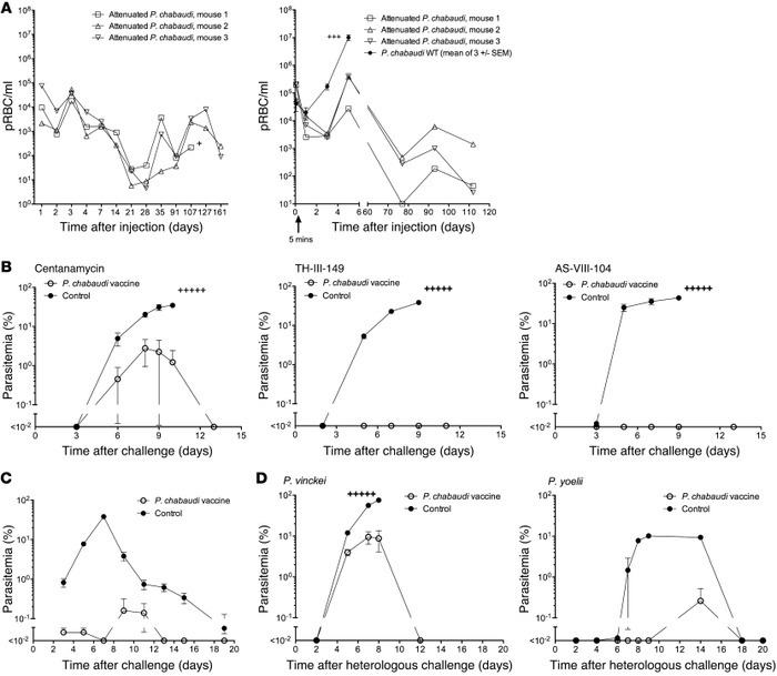
Figure 1

Immunization with attenuated parasites.

Options: View larger image (or click on image) Download as PowerPoint
Immunization with attenuated parasites.
(A) Immunodeficient SCID mice (l...
(A) Immunodeficient SCID mice (left panel) or immunocompetent A/J mice (right panel) were administered 106 (left panel) or 107 (right panel) P. chabaudi prbcs attenuated with 2 μM centanamycin or 107 WT parasites (right panel). qPCR was performed to estimate parasite density in the blood at various time points. y axes show the estimated parasite density. (B) To assess immunity, A/J mice (5 per group) were immunized with a single dose of 106P. chabaudi prbcs attenuated with centanamycin, TH-III-149, or AS-VIII-104, as indicated, or left untreated. All were challenged 5 weeks later with 105P. chabaudi prbcs i.v. (C) To assess immunity in a different mouse strain, C57BL/6 mice were either immunized with a single dose of 106P. chabaudi prbcs attenuated with centanamycin or given a saline injection (control) and challenged 9 weeks later with 105P. chabaudi prbcs i.v. (D) TH-III-149 (for P. vinckei challenge) or centanamycin (for P. yoelii challenge) were used to attenuate P. chabaudi, and mice were immunized with a single dose of 106 prbcs and challenged 4 weeks later with either 104P. vinckei or 104P. yoelii prbcs i.v. Plus signs indicate that mice succumbed to the infection.

Copyright © 2026 American Society for Clinical Investigation
ISSN: 0021-9738 (print), 1558-8238 (online)

Sign up for email alerts