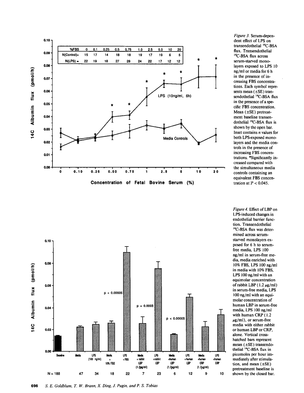
Bacterial LPS induces endothelial cell (EC) injury both in vivo and in vitro. We studied the effect of Escherichia coli 0111:B4 LPS on movement of 14C-BSA across bovine pulmonary artery EC monolayers. In the presence of serum, a 6-h LPS exposure augmented (P < 0.001) transendothelial 14C-BSA flux compared with the media control at concentrations > or = 0.5 ng/ml, and LPS (10 ng/ml) exposures of > or = 2-h increased (P < 0.005) the flux. In the absence of serum, LPS concentrations of up to 10 micrograms/ml failed to increase 14C-BSA flux at 6 h. The addition of 10% serum increased EC sensitivity to the LPS stimulus by > 10,000-fold. LPS (10 ng/ml, 6 h) failed to increase 14C-BSA flux at serum concentrations < 0.5%, and maximum LPS-induced increments could be generated in the presence of > or = 2.5%. LPS-binding protein (LBP) and soluble CD14 (sCD14) could each satisfy this serum requirement; either anti-LBP or anti-CD14 antibody each totally blocked (P < 0.00005) the LPS-induced changes in endothelial barrier function. LPS-LBP had a more rapid onset than did LPS-sCD14. The LPS effect in the presence of both LBP and sCD14 exceeded the effect in the presence of either protein alone. These data suggest that LBP and sCD14 each independently functions as an accessory molecule for LPS presentation to the non-CD14-bearing endothelial surface. However, in the presence of serum both molecules are required.
S E Goldblum, T W Brann, X Ding, J Pugin, P S Tobias
| 692 | 693 | 694 | 695 | 696 | 697 | 698 | 699 | 700 | 701 | 702 |
