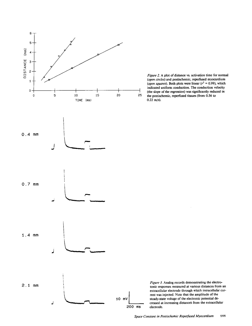
Brief periods of ischemia and reperfusion may lead to arrhythmias and delayed epicardial activation. To determine the nature of the electrophysiologic substrate and to gain insight into potential mechanisms underlying the electrophysiologic and hemodynamic abnormalities that develop in this setting, standard microelectrode techniques were used to measure action potential characteristics, conduction velocity, and space constants in canine isolated epicardial preparations removed after a 15-min anterior descending artery occlusion and 20-min reflow period in vivo. Our results demonstrate a significant reduction in conduction velocity (0.78 +/- 0.38 vs. 0.31 +/- 0.12 m/s, P less than 0.001), space constant (1.05 +/- 0.42 vs. 0.45 +/- 0.12 mm, P = 0.004), resting membrane potential (81.3 +/- 2.5 vs. 61.7 +/- 7.8 mV, P less than 0.001), action potential amplitude (94.1 +/- 4.2 vs. 64.1 +/- 1.5 mV, P less than 0.001), and dV/dT (164.7 +/- 37.3 vs. 52.6 +/- 19.7 V/s, P less than 0.001) in postischemic reperfused myocardium. The space constant and dV/dT each correlated with conduction velocity; in addition, the space constant was an independent predictor of conduction velocity in these tissues. These electrophysiologic abnormalities may play a role in the arrhythmias and abnormalities of contraction present in postischemic, reperfused myocardium.
J H Levine, E N Moore, H F Weisman, A H Kadish, L C Becker, J F Spear
| 107 | 108 | 109 | 110 | 111 | 112 | 113 | 114 | 115 | 116 |
