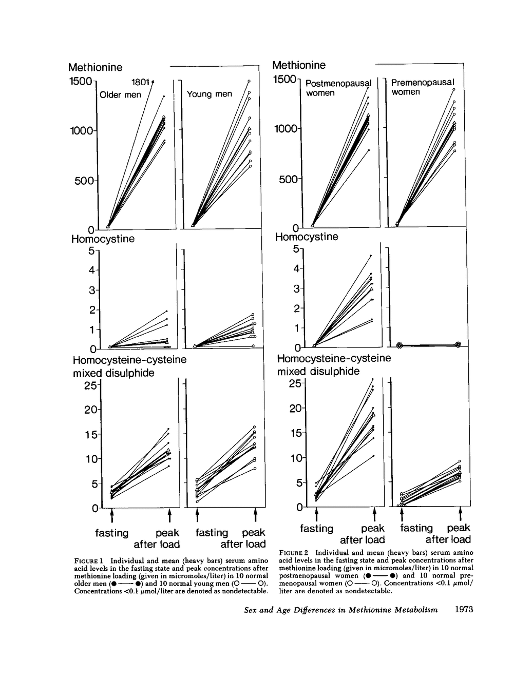
Premenopausal women develop occlusive artery disease less frequently than postmenopausal women. In coronary heart disease, higher blood levels of homocysteine-cysteine mixed disulphide have been reported. Therefore, in healthy subjects, we studied the role of menopausal status in the transsulphuration of methionine in 10 premenopausal and 10 postmenopausal women. To exclude the role of aging, we compared these results with those in 10 younger and 10 older men of comparable age groups. An oral methionine load (0.1 g/kg of body weight) was administered after overnight fasting. Before and during 8 h, thereafter, serum levels of methionine, homocystine, and homocysteine-cysteine mixed disulphide were measured. In the fasting state, serum methionine levels were similar in the premenopausal women and both groups of men. Postmenopausal women had significantly lower fasting levels. Peak levels and clearances of methionine after loading did not differ between the groups. In the fasting state, homocystine was never detectable; yet, after methionine loading, slight homocystinemia was present in 12 out of 20 men, and was more pronounced in all postmenopausal women. However, homocystinemia did not occur in any of the premenopausal women after loading. Fasting serum homocysteine-cysteine mixed disulphide levels did not differ between both groups of men and postmenopausal women. In premenopausal women, both fasting and postloading disulphide levels were significantly lower than in any other group. We conclude that premenopausal women have a unique efficiency of methionine handling, and thereby are preserved against the accumulation of homocysteine after methionine loading. We speculate that this phenomenon might account for the lower incidence of vascular disease in women in the reproductive life cycle.
G H Boers, A G Smals, F J Trijbels, A I Leermakers, P W Kloppenborg
| 1971 | 1972 | 1973 | 1974 | 1975 | 1976 |
