Go to JCI Insight
  • About
  • Editors
  • Consulting Editors
  • For authors
  • Publication ethics
  • Publication alerts by email
  • Advertising
  • Job board
  • Contact
  • Clinical Research and Public Health
  • Current issue
  • Past issues
  • By specialty
    • COVID-19
    • Cardiology
    • Gastroenterology
    • Immunology
    • Metabolism
    • Nephrology
    • Neuroscience
    • Oncology
    • Pulmonology
    • Vascular biology
    • All ...
  • Videos
    • ASCI Milestone Awards
    • Video Abstracts
    • Conversations with Giants in Medicine
  • Reviews
    • View all reviews ...
    • Clinical innovation and scientific progress in GLP-1 medicine (Nov 2025)
    • Pancreatic Cancer (Jul 2025)
    • Complement Biology and Therapeutics (May 2025)
    • Evolving insights into MASLD and MASH pathogenesis and treatment (Apr 2025)
    • Microbiome in Health and Disease (Feb 2025)
    • Substance Use Disorders (Oct 2024)
    • Clonal Hematopoiesis (Oct 2024)
    • View all review series ...
  • Viewpoint
  • Collections
    • In-Press Preview
    • Clinical Research and Public Health
    • Research Letters
    • Letters to the Editor
    • Editorials
    • Commentaries
    • Editor's notes
    • Reviews
    • Viewpoints
    • 100th anniversary
    • Top read articles

  • Current issue
  • Past issues
  • Specialties
  • Reviews
  • Review series
  • ASCI Milestone Awards
  • Video Abstracts
  • Conversations with Giants in Medicine
  • In-Press Preview
  • Clinical Research and Public Health
  • Research Letters
  • Letters to the Editor
  • Editorials
  • Commentaries
  • Editor's notes
  • Reviews
  • Viewpoints
  • 100th anniversary
  • Top read articles
  • About
  • Editors
  • Consulting Editors
  • For authors
  • Publication ethics
  • Publication alerts by email
  • Advertising
  • Job board
  • Contact
The PlA2 polymorphism of integrin β3 enhances outside-in signaling and adhesive functions
K. Vinod Vijayan, Pascal J. Goldschmidt-Clermont, Christine Roos, Paul F. Bray
K. Vinod Vijayan, Pascal J. Goldschmidt-Clermont, Christine Roos, Paul F. Bray
View: Text | PDF
Article

The PlA2 polymorphism of integrin β3 enhances outside-in signaling and adhesive functions

  • Text
  • PDF
Abstract

Genetic factors are believed to influence the development of arterial thromboses. Because integrin αIIbβ3 plays a crucial role in thrombus formation, we analyzed receptor adhesive properties using Chinese hamster ovary and human kidney embryonal 293 cells overexpressing the PlA1 or PlA2 polymorphic forms of αIIbβ3. Soluble fibrinogen binding was no different between PlA1 and PlA2 cells, either in a resting state or when αIIbβ3 was activated with anti-LIBS6. PlA1 and PlA2 cells bound equivalently to immobilized fibronectin. In contrast, significantly more PlA2 cells bound to immobilized fibrinogen in an αIIbβ3-dependent manner than did PlA1 cells. Disruption of the actin cytoskeleton by cytochalasin D abolished the increased binding of PlA2 cells. Compared with PlA1 cells, PlA2 cells exhibited a greater extent of polymerized actin and cell spreading, enhanced tyrosine phosphorylation of pp125FAK, and greater fibrin clot retraction. These adhesion differences appear to depend on a signaling mechanism sensitive to receptor occupancy. Thus, the PlA2 polymorphism altered integrin-mediated functions of adhesion, spreading, actin cytoskeleton rearrangement, and clot retraction.

Authors

K. Vinod Vijayan, Pascal J. Goldschmidt-Clermont, Christine Roos, Paul F. Bray

×

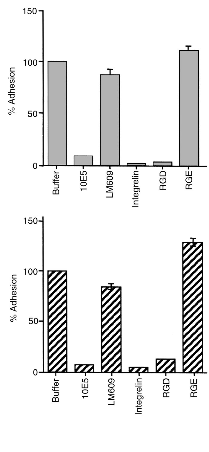
Figure 4

Options: View larger image (or click on image) Download as PowerPoint
Adhesion of A1 and A2 CHO cells is αIIbβ3 specific. Adhesion was as in F...
Adhesion of A1 and A2 CHO cells is αIIbβ3 specific. Adhesion was as in Figure 3, except that A1 and A2 cells were first incubated for 10 minutes with buffer or 2.1 μg/mL 10E5, 10 μg/mL LM609, 5 μM integrelin, 200 μM RGD peptide, or 200 μM RGE peptide. Cells were allowed to bind for 5 minutes before washing. Binding without inhibitors is displayed as 100%. The experiment was performed 3 times; error bars were too narrow to be seen with the 10E5, integrelin, and RGD inhibition. Binding of A1 and A2 cells after inhibition with 10E5, integrelin, and RGD was equivalent to basal binding of the LK444 control line.

Copyright © 2026 American Society for Clinical Investigation
ISSN: 0021-9738 (print), 1558-8238 (online)

Sign up for email alerts