Go to JCI Insight
  • About
  • Editors
  • Consulting Editors
  • For authors
  • Publication ethics
  • Publication alerts by email
  • Advertising
  • Job board
  • Contact
  • Clinical Research and Public Health
  • Current issue
  • Past issues
  • By specialty
    • COVID-19
    • Cardiology
    • Gastroenterology
    • Immunology
    • Metabolism
    • Nephrology
    • Neuroscience
    • Oncology
    • Pulmonology
    • Vascular biology
    • All ...
  • Videos
    • ASCI Milestone Awards
    • Video Abstracts
    • Conversations with Giants in Medicine
  • Reviews
    • View all reviews ...
    • Clinical innovation and scientific progress in GLP-1 medicine (Nov 2025)
    • Pancreatic Cancer (Jul 2025)
    • Complement Biology and Therapeutics (May 2025)
    • Evolving insights into MASLD and MASH pathogenesis and treatment (Apr 2025)
    • Microbiome in Health and Disease (Feb 2025)
    • Substance Use Disorders (Oct 2024)
    • Clonal Hematopoiesis (Oct 2024)
    • View all review series ...
  • Viewpoint
  • Collections
    • In-Press Preview
    • Clinical Research and Public Health
    • Research Letters
    • Letters to the Editor
    • Editorials
    • Commentaries
    • Editor's notes
    • Reviews
    • Viewpoints
    • 100th anniversary
    • Top read articles

  • Current issue
  • Past issues
  • Specialties
  • Reviews
  • Review series
  • ASCI Milestone Awards
  • Video Abstracts
  • Conversations with Giants in Medicine
  • In-Press Preview
  • Clinical Research and Public Health
  • Research Letters
  • Letters to the Editor
  • Editorials
  • Commentaries
  • Editor's notes
  • Reviews
  • Viewpoints
  • 100th anniversary
  • Top read articles
  • About
  • Editors
  • Consulting Editors
  • For authors
  • Publication ethics
  • Publication alerts by email
  • Advertising
  • Job board
  • Contact
Open-label phase IV trial evaluating nusinersen after onasemnogene abeparvovec in children with spinal muscular atrophy
Crystal M. Proud, Richard S. Finkel, Julie A. Parsons, Riccardo Masson, John F. Brandsema, Nancy L. Kuntz, Richard Foster, Wenjing Li, Ross Littauer, Jihee Sohn, Stephanie Fradette, Bora Youn, Angela D. Paradis, on behalf of the RESPOND Study Group
Crystal M. Proud, Richard S. Finkel, Julie A. Parsons, Riccardo Masson, John F. Brandsema, Nancy L. Kuntz, Richard Foster, Wenjing Li, Ross Littauer, Jihee Sohn, Stephanie Fradette, Bora Youn, Angela D. Paradis, on behalf of the RESPOND Study Group
View: Text | PDF
Clinical Research and Public Health Clinical Research Muscle biology

Open-label phase IV trial evaluating nusinersen after onasemnogene abeparvovec in children with spinal muscular atrophy

  • Text
  • PDF
Abstract

BACKGROUND Spinal muscular atrophy (SMA) is a rare genetic neuromuscular disease caused by deletions or mutations of the survival motor neuron 1 (SMN1) gene. Despite the availability of genetically based treatments for SMA, functional impairments and weakness persist in treated symptomatic individuals. This study addresses whether additional treatment after gene transfer therapy could provide further clinical benefits.METHODS Interim day 302 findings are described from the phase IV open-label RESPOND trial evaluating nusinersen in participants aged ≤36 months who had suboptimal clinical status following onasemnogene abeparvovec (OA) treatment, as determined by the investigator.RESULTS Thirty-seven participants included in the interim analysis were symptomatic at the time of OA administration. Most (92%) had 2 SMN2 gene copies. Age at first nusinersen dose (median) was 9.1 (range, 3–33) months for participants with 2 SMN2 copies and 34.2 (range, 31–36) months for those with 3 SMN2 copies, while time from OA dose to first nusinersen dose (median) was 6.3 (range, 3–31) and 13.3 (range, 10–22) months, respectively. Participants had elevated neurofilament light chain (NfL) levels and low compound muscle action potential (CMAP) amplitudes at baseline, suggesting active neurodegeneration and severe denervation at study entry. Improvements from baseline were observed across a range of outcomes on day 302, including motor function (HINE-2 and CHOP-INTEND total score), achievement of independent sitting, NfL levels, CMAP, and investigator- and caregiver-reported outcomes. Mean NfL levels decreased rapidly from baseline to day 183 and remained low on day 302. Mean ulnar and peroneal CMAP amplitudes increased. No safety concerns were identified.CONCLUSION Improvements in clinical and biomarker outcomes support the benefit of nusinersen treatment in infants and children with suboptimal clinical status following OA.TRIAL REGISTRATION ClinicalTrials.gov NCT04488133; EudraCT 2020-003492-18.FUNDING This study was sponsored by Biogen.

Authors

Crystal M. Proud, Richard S. Finkel, Julie A. Parsons, Riccardo Masson, John F. Brandsema, Nancy L. Kuntz, Richard Foster, Wenjing Li, Ross Littauer, Jihee Sohn, Stephanie Fradette, Bora Youn, Angela D. Paradis, on behalf of the RESPOND Study Group

×

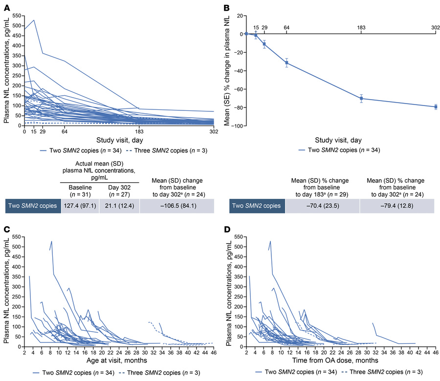
Figure 6

Changes in plasma NfL concentrations.

Options: View larger image (or click on image) Download as PowerPoint
Changes in plasma NfL concentrations.
(A) Absolute changes by study visi...
(A) Absolute changes by study visit. (B) Percent changes by study visit. (C) Absolute changes by age at visit. (D) Absolute changes by time from OA. All data from baseline to day 302 are shown for participants with postbaseline scores. Individual participant trajectories may overlap. Descriptive statistics are not shown for participants with 3 SMN2 copies due to small sample size. aMean (SD) changes were calculated for participants who had assessments at each time point at the time of the NfL data cut.

Copyright © 2026 American Society for Clinical Investigation
ISSN: 0021-9738 (print), 1558-8238 (online)

Sign up for email alerts