Go to JCI Insight
  • About
  • Editors
  • Consulting Editors
  • For authors
  • Publication ethics
  • Publication alerts by email
  • Advertising
  • Job board
  • Contact
  • Clinical Research and Public Health
  • Current issue
  • Past issues
  • By specialty
    • COVID-19
    • Cardiology
    • Gastroenterology
    • Immunology
    • Metabolism
    • Nephrology
    • Neuroscience
    • Oncology
    • Pulmonology
    • Vascular biology
    • All ...
  • Videos
    • Conversations with Giants in Medicine
    • Video Abstracts
  • Reviews
    • View all reviews ...
    • Clinical innovation and scientific progress in GLP-1 medicine (Nov 2025)
    • Pancreatic Cancer (Jul 2025)
    • Complement Biology and Therapeutics (May 2025)
    • Evolving insights into MASLD and MASH pathogenesis and treatment (Apr 2025)
    • Microbiome in Health and Disease (Feb 2025)
    • Substance Use Disorders (Oct 2024)
    • Clonal Hematopoiesis (Oct 2024)
    • View all review series ...
  • Viewpoint
  • Collections
    • In-Press Preview
    • Clinical Research and Public Health
    • Research Letters
    • Letters to the Editor
    • Editorials
    • Commentaries
    • Editor's notes
    • Reviews
    • Viewpoints
    • 100th anniversary
    • Top read articles

  • Current issue
  • Past issues
  • Specialties
  • Reviews
  • Review series
  • Conversations with Giants in Medicine
  • Video Abstracts
  • In-Press Preview
  • Clinical Research and Public Health
  • Research Letters
  • Letters to the Editor
  • Editorials
  • Commentaries
  • Editor's notes
  • Reviews
  • Viewpoints
  • 100th anniversary
  • Top read articles
  • About
  • Editors
  • Consulting Editors
  • For authors
  • Publication ethics
  • Publication alerts by email
  • Advertising
  • Job board
  • Contact
Tumor Treating Fields dually activate STING and AIM2 inflammasomes to induce adjuvant immunity in glioblastoma
Dongjiang Chen, Son B. Le, Tarun E. Hutchinson, Anda-Alexandra Calinescu, Mathew Sebastian, Dan Jin, Tianyi Liu, Ashley Ghiaseddin, Maryam Rahman, David D. Tran
Dongjiang Chen, Son B. Le, Tarun E. Hutchinson, Anda-Alexandra Calinescu, Mathew Sebastian, Dan Jin, Tianyi Liu, Ashley Ghiaseddin, Maryam Rahman, David D. Tran
View: Text | PDF
Research Article Oncology

Tumor Treating Fields dually activate STING and AIM2 inflammasomes to induce adjuvant immunity in glioblastoma

  • Text
  • PDF
Abstract

Tumor Treating Fields (TTFields), an approved therapy for glioblastoma (GBM) and malignant mesothelioma, employ noninvasive application of low-intensity, intermediate-frequency, alternating electric fields to disrupt the mitotic spindle, leading to chromosome missegregation and apoptosis. Emerging evidence suggests that TTFields may also induce inflammation. However, the mechanism underlying this property and whether it can be harnessed therapeutically are unclear. Here, we report that TTFields induced focal disruption of the nuclear envelope, leading to cytosolic release of large micronuclei clusters that intensely recruited and activated 2 major DNA sensors — cyclic GMP-AMP synthase (cGAS) and absent in melanoma 2 (AIM2) — and their cognate cGAS/stimulator of interferon genes (STING) and AIM2/caspase 1 inflammasomes to produce proinflammatory cytokines, type 1 interferons (T1IFNs), and T1IFN-responsive genes. In syngeneic murine GBM models, TTFields-treated GBM cells induced antitumor memory immunity and a cure rate of 42% to 66% in a STING- and AIM2-dependent manner. Using single-cell and bulk RNA sequencing of peripheral blood mononuclear cells, we detected robust post-TTFields activation of adaptive immunity in patients with GBM via a T1IFN-based trajectory and identified a gene panel signature of TTFields effects on T cell activation and clonal expansion. Collectively, these studies defined a therapeutic strategy using TTFields as cancer immunotherapy in GBM and potentially other solid tumors.

Authors

Dongjiang Chen, Son B. Le, Tarun E. Hutchinson, Anda-Alexandra Calinescu, Mathew Sebastian, Dan Jin, Tianyi Liu, Ashley Ghiaseddin, Maryam Rahman, David D. Tran

×

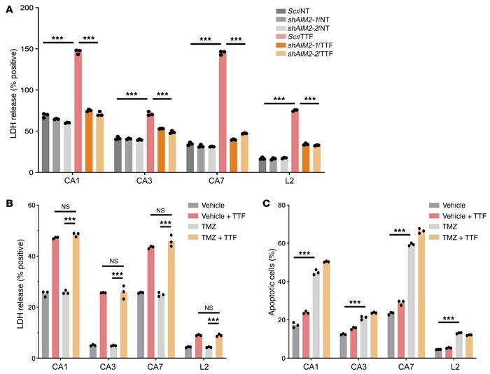
Figure 5

TTFields-activated AIM2/caspase 1 inflammasome induces membrane-damaged cell death in GSCs.

Options: View larger image (or click on image) Download as PowerPoint
TTFields-activated AIM2/caspase 1 inflammasome induces membrane-damaged ...
(See Supplemental Figure 11). (A) A combination bar and dot plot of an LDH release assay showing TTFields-induced plasma membrane disruption in an AIM2-dependent manner following 24 hours of TTFields treatment in the presence of scrambled (Scr) or 1 of 2 independent AIM2 shRNAs. (B and C) Combination bar and dot plots of an LDH release assay showing that TTFields-induced membrane-damaged cell death following 24 hours of TTFields treatment is distinct from apoptotic cell death caused by TMZ (150 μM for 24 hours) (B) as measured by annexin V membrane binding (C). All experiments used triplicate samples and were repeated at least 3 times. Data are represented as mean ± SEM. Analyses were performed using 1-way ANOVA. ***P < 0.001.

Copyright © 2026 American Society for Clinical Investigation
ISSN: 0021-9738 (print), 1558-8238 (online)

Sign up for email alerts