Go to JCI Insight
  • About
  • Editors
  • Consulting Editors
  • For authors
  • Publication ethics
  • Publication alerts by email
  • Advertising
  • Job board
  • Contact
  • Clinical Research and Public Health
  • Current issue
  • Past issues
  • By specialty
    • COVID-19
    • Cardiology
    • Gastroenterology
    • Immunology
    • Metabolism
    • Nephrology
    • Neuroscience
    • Oncology
    • Pulmonology
    • Vascular biology
    • All ...
  • Videos
    • Conversations with Giants in Medicine
    • Video Abstracts
  • Reviews
    • View all reviews ...
    • Clinical innovation and scientific progress in GLP-1 medicine (Nov 2025)
    • Pancreatic Cancer (Jul 2025)
    • Complement Biology and Therapeutics (May 2025)
    • Evolving insights into MASLD and MASH pathogenesis and treatment (Apr 2025)
    • Microbiome in Health and Disease (Feb 2025)
    • Substance Use Disorders (Oct 2024)
    • Clonal Hematopoiesis (Oct 2024)
    • View all review series ...
  • Viewpoint
  • Collections
    • In-Press Preview
    • Clinical Research and Public Health
    • Research Letters
    • Letters to the Editor
    • Editorials
    • Commentaries
    • Editor's notes
    • Reviews
    • Viewpoints
    • 100th anniversary
    • Top read articles

  • Current issue
  • Past issues
  • Specialties
  • Reviews
  • Review series
  • Conversations with Giants in Medicine
  • Video Abstracts
  • In-Press Preview
  • Clinical Research and Public Health
  • Research Letters
  • Letters to the Editor
  • Editorials
  • Commentaries
  • Editor's notes
  • Reviews
  • Viewpoints
  • 100th anniversary
  • Top read articles
  • About
  • Editors
  • Consulting Editors
  • For authors
  • Publication ethics
  • Publication alerts by email
  • Advertising
  • Job board
  • Contact
Corticosteroid treatment in severe COVID-19 patients with acute respiratory distress syndrome
Jiao Liu, … , Jieming Qu, Dechang Chen
Jiao Liu, … , Jieming Qu, Dechang Chen
Published November 3, 2020
Citation Information: J Clin Invest. 2020;130(12):6417-6428. https://doi.org/10.1172/JCI140617.
View: Text | PDF
Clinical Research and Public Health

Corticosteroid treatment in severe COVID-19 patients with acute respiratory distress syndrome

  • Text
  • PDF
Abstract

BACKGROUND Corticosteroids are widely used in patients with COVID 19, although their benefit-to-risk ratio remains controversial.METHODS Patients with severe COVID-19–related acute respiratory distress syndrome (ARDS) were included from December 29, 2019 to March 16, 2020 in 5 tertiary Chinese hospitals. Cox proportional hazards and competing risks analyses were conducted to analyze the impact of corticosteroids on mortality and SARS–CoV-2 RNA clearance, respectively. We performed a propensity score (PS) matching analysis to control confounding factors.RESULTS Of 774 eligible patients, 409 patients received corticosteroids, with a median time from hospitalization to starting corticosteroids of 1.0 day (IQR 0.0–3.0 days) . As compared with usual care, treatment with corticosteroids was associated with increased rate of myocardial (15.6% vs. 10.4%, P = 0.041) and liver injury (18.3% vs. 9.9%, P = 0.001), of shock (22.0% vs. 12.6%, P < 0.001), of need for mechanical ventilation (38.1% vs. 19.5%, P < 0.001), and increased rate of 28-day all-cause mortality (44.3% vs. 31.0%, P < 0.001). After PS matching, corticosteroid therapy was associated with 28-day mortality (adjusted HR 1.46, 95% CI 1.01–2.13, P = 0.045). High dose (>200 mg) and early initiation (≤3 days from hospitalization) of corticosteroid therapy were associated with a higher 28-day mortality rate. Corticosteroid use was also associated with a delay in SARS–CoV-2 coronavirus RNA clearance in the competing risk analysis (subhazard ratio 1.59, 95% CI 1.17–2.15, P = 0.003).CONCLUSION Administration of corticosteroids in severe COVID-19–related ARDS is associated with increased 28-day mortality and delayed SARS–CoV-2 coronavirus RNA clearance after adjustment for time-varying confounders.FUNDING None.

Authors

Jiao Liu, Sheng Zhang, Xuan Dong, Zhongyi Li, Qianghong Xu, Huibin Feng, Jing Cai, Sisi Huang, Jun Guo, Lidi Zhang, Yizhu Chen, Wei Zhu, Hangxiang Du, Yongan Liu, Tao Wang, Limin Chen, Zhenliang Wen, Djillali Annane, Jieming Qu, Dechang Chen

×

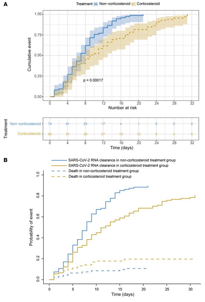
Figure 5

Cumulative incidence of SARS–CoV-2 RNA clearance according to corticosteroid therapy.

Options: View larger image (or click on image) Download as PowerPoint
Cumulative incidence of SARS–CoV-2 RNA clearance according to corticoste...
(A) Cumulative incidence of SARS–CoV-2 RNA clearance according to corticosteroid therapy by Kaplan-Meier plot. (B) Cumulative incidence of SARS–CoV-2 RNA clearance and 28-day mortality by competing risks analysis.

Copyright © 2025 American Society for Clinical Investigation
ISSN: 0021-9738 (print), 1558-8238 (online)

Sign up for email alerts